![]() |
Contar Mal |
| Penúltima edición y semana de la temporada de PTQs Dragon's Maze, siguiendo el formato Modern. Cuatro semanas después del baneo, por fin tenemos algo suficiente para ver cual es la diferencia entre el metajuego del MOL y del mundo real. También veremos cómo han cambiado las elecciones de cartas en general, mediante distribuciones de "Tags" o Etiquetas. |
Recuerdo que sufriéremos un embargo de como el 80% de los resultados del MOL, así que difícilmente podemos hacer predicciones (que tampoco las hago cuando tengo todo. BAH.) Pero todos estamos igual.
Línea Temporal:
Pincha para pantalla completa.
Explicación detallada.
Dejando el puntero del ratón sobre su círculito naranja, vemos que finalmente llegaron resultados retroactivos de 4 torneos pequeños en el mundo real (también llamado IRL) para la Semana 10, del 14 al 20 de Febrero. Los 7 días siguientes tenemos de nuevo una docena de eventos y una coletilla de menos de media docena en la que ya es justo la "semana" pasada.
Los cuadrados azules muestran los constantes 7 Diarios del MOL que nos dejan ver, más un Premier de vez en cuando, hasta 8 eventos de asistencia desconocida.
En el artículo anterior traté los 14 días entre el 7 y el 20 de Febrero. Lo que nos ocupa ahora son los siguientes 14, las semanas número 11 y 12, si contáis desde el principio del gráfico.
These Weeks in Magic:
Esta vez, el gráfico con los puntos del metajuego ponderado de todos los torneos abarca, en parejas, las cuatro semanas antes del baneo (del 10 de Enero al 6 de Febrero) y las cuatro últimas después (del 7 de Febrero al Miércoles pasado, 6 de Marzo.)
Ya describí lo que pasó justo después del baneo, pero se puede visualizar claramente de nuevo. Ajuste de Jund, segunda muerte de
En el último avance llama inmediatamente la atención la explosión de la categoría "Otros", que contiene agregados los mazos que no pasaron el corte del 4% en ninguno de los puntos, incluyendo los tan pequeños que pudiéramos considerarlos "rogues."
Para acomodar este aumento de diversidad, todos los demás pierden pastel aproximadamente por igual. Excepto Second Sunrise Combo, que hasta crece un poquito. Cranial Plating Aggro y Mono
Lo importante es que el formato se ha diluído aún más. Me gustaría ver números de Legacy, pero me da la impresión de que sería similar a lo que se ve en las semanas 9-10. Lo de ahora me parece demasiado.
Así normal que nadie sepa qué jugar. En estos casos la respuesta me parece, juega lo que más te guste, pero domínalo de pe a pa y prepárate un buen banquillo. Y aprende a improvisar, que las guías rígidas de banquilleo hace tiempo que no sirven.
Una cosa que ya no se ve desde que dejé los gráficos de barras, en favor de éstos de área, son los cambios en los subarquetipos. Tras el baneo, la versión aggrocontrol de
Simiralmente, Jund estaba muy fragmentado, siendo la versión con
4C Pod Kiki, sin embargo, ha sufrido una fragmentación extrema desde que la versión con Chord of Calling y base de maná formada principalmente por fetchlands y shocklands dominase su feudo particular. Ahora mismo se reparte entre ese mismo subarquetipo, otro con Chord, Witness y base de maná hecha con fastlands; y otro sin Witness ni Chord.
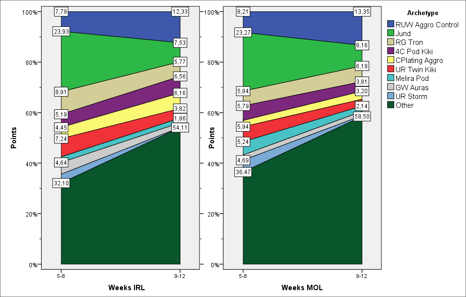
MOL vs. IRL:
Ahora que han pasado cuatro semanas postbaneo, podemos intentar separar el metajuego del MOL e IRL. El gráfico de la derecha es una reinterpretación de exactamente los mismos eventos del completo anterior, pero ahora desglosado en online y mundo real. Recordemos que las Semanas de 5 a 8 son antes del baneo y de la 9 a la 12 son después, y llegan justo hasta el Miércoles pasado.
Directamente vemos que hay muy pocas diferencias entre IRL y MOL, pero las hay. Confirmamos la explosión de diversidad, aunque aquí es un pelín menor porque estamos agrupando las Semanas 11-12 con las previas 9-10, que tenían menos rogues, si miráis en el otro gráfico.
Prebaneo, había más
Cranial Plating Aggro es un mazo que tenía y tiene más éxito IRL, dónde incluso ha crecido.
Melira Pod y
Tags y Cartas Más Jugadas:
Los Tags o Etiquetas describen de forma más abstracta y simple algunas funciones de las cartas en las barajas conocidas: 'descarte', 'contrahechizo', 'subir a la mano'...
Estas tablas contienen los datos de tags de las últimas cuatro semanas, con las columnas con delta (Δ) comparando con las cuatro anteriores. Luego después del baneo, comparando con un período similar de antes:
| Tag | % de Barajas | Moda | % desde SB | Δ % | Δ Moda | Δ % SB |
|---|---|---|---|---|---|---|
| disruption | 94.45% | 4 | 32.14% | -0.13% | 0 | -0.71% |
| land destruction | 69.3% | 4 | 29.93% | +11.66% | 0 | +1.16% |
| counterspell | 53.39% | 10 | 25.01% | +7.94% | +4.5 | -3.03% |
| discard | 51.91% | 3 | 25.26% | -4.33% | 0 | +0.77% |
| sin cualificar | 28.85% | 2 | 56.44% | +3.27% | 0 | +3.73% |
| land type change | 14.55% | 3 | 65.89% | +0.43% | 0 | +0.72% |
| removal | 99.88% | 15 | 23.41% | -0.07% | -1 | -2.62% |
| direct damage | 74.35% | 2 | 19.87% | -4.9% | -4 | -5.56% |
| sin cualificar | 69.79% | 4 | 25.93% | -0.37% | 0 | +2.48% |
| mass | 63.13% | 2 | 48.61% | +4.23% | 0 | -5.12% |
| shrink | 34.16% | 1 | 59.63% | -4.67% | -1 | -1.41% |
| tapper | 34.03% | 4 | 1.34% | +0.13% | +3 | -3.91% |
| bouncer | 32.18% | 4 | 19.52% | +8.54% | +2 | -19.51% |
| combat based | 24.91% | 4 | 11.22% | +4.65% | 0 | -0.74% |
| sacrifice | 24.17% | 3 | 5.72% | -3.15% | 0 | -1.01% |
| control change | 20.47% | 2 | 62.63% | -5.45% | +1 | -6.77% |
| artifact hate | 93.83% | 3 | 73.81% | +0.94% | 0 | +1.57% |
| enchantment hate | 72.63% | 2 | 59.24% | +2.66% | 0 | +4.45% |
| graveyard hate | 68.93% | 2 | 56.94% | -7.91% | 0 | +1.11% |
| combo hate | 83.23% | 2 | 78.75% | +0.25% | -2 | +3.32% |
La mayoría de los nombres de los tags son intuitivos: disruption es cualquier cosa que le alegre el día a un oponente; removal es cualquier cosa que pueda quitar una criatura de la mesa; artifact hate, enchantment hate y graveyard hate son cartas para interactuar con ese tipo de permanente o zona del oponente. Combo hate es un tag más nuevo que, de forma algo arbitraria, designa si una carta se usa como carta de alto impacto contra algún combo en particular. En tablas posteriores se verán ejemplos.
% de Barajas es la proporción de barajas del total que tienen al menos una carta con ese tag en las 75. Cuánto de eso viene del banquillo lo tenemos en % desde SB. La Moda es el número de copias de cartas con ese tag más común en todo el mazo. Si es fraccionaria, es que es la media de todas las modas encontradas.
Por ejemplo, el 99.8% de las barajas de los últimos 28 días tienen alguna carta de anti-artefactos de base y/o banquillo, con tres cuartos en el banquillo. Lo normal es que sean 3, las mismas que en los 28 días antes del baneo (según los Δ o desplazamientos.)
La disrupción en general no ha cambiado nada, casi todos los mazos llevan, normalmente 4 y un tercio desde el banquillo. La composición particular de los subtags sí se ha movido. Más mazos juegan parte tierras y contrahechizos. La cantidad de contrahechizos por mazo que los juegan se ha casi doblado. Se nota que la cascada de Bloodbraid Elf ya no es un problema.
El conjunto del removal tampoco ha cambiado, salvo que ahora se juega una copia menos en total. Gran caída del número de copias del daño directo a criaturas, en los mazos que los juegan (que son tres cuartos de ellos.)
Hay bouncers en más barajas, en más cantidad y ahora se juega más de base. Más copias de giradores también. En realidad, una buena parte de esto y de la subida de contrahechizos podemos achacársela a la mayor jugabilidad de Cryptic Command, que tiene todos esos tags.
La necesidad de odio al cementerio se reduce y la cantidad de odios específicos contra combo también. Seguramente por la caída de Storm.
| Disrupción | % de Barajas | Moda | % desde SB | Δ % | Δ Moda | Δ % SB |
|---|---|---|---|---|---|---|
| Tectonic Edge | 28.73% | 2 | 0.89% | +14.61% | -2 | -2.46% |
| Remand | 24.66% | 4 | 0.3% | +6.38% | 0 | -2.52% |
| Aven Mindcensor | 24.29% | 2 | 66.03% | +2.82% | 0 | +8.65% |
| Mana Leak | 23.67% | 3 | 0.2% | +9.99% | +1 | -1.88% |
| Vendilion Clique | 22.19% | 3 | 19.51% | +9.48% | 0 | +0.8% |
| Cryptic Command | 18.87% | 4 | 0.59% | +7.74% | 0 | -0.25% |
| Ghost Quarter | 18.87% | 1 | 11.98% | +7.6% | 0 | +6.81% |
| Dispel | 18.25% | 1 | 71.26% | +4.47% | -1 | +16.52% |
| Thoughtseize | 18.0% | 3 | 31.24% | -10.72% | 0 | +6.29% |
| Izzet Charm | 17.26% | 2 | 3.5% | +2.9% | 0 | -4.18% |
| Sowing Salt | 17.14% | 2 | 100.0% | +1.76% | 0 | 0.0% |
| Inquisition of Kozilek | 16.65% | 3 | 13.83% | -10.87% | 0 | +1.28% |
| Spell Snare | 16.28% | 3 | 5.11% | +9.02% | -1 | +3.26% |
| Liliana of the Veil | 15.41% | 4 | 1.17% | -4.61% | +1 | -2.39% |
| Negate | 15.04% | 1 | 97.33% | +2.04% | -1 | +4.69% |
| Counterflux | 13.93% | 2 | 99.5% | +8.13% | 0 | +1.17% |
| Slaughter Games | 13.07% | 2 | 100.0% | -5.5% | 0 | 0.0% |
| Spell Pierce | 12.82% | 2 | 72.61% | +0.49% | 0 | +9.16% |
| Molten Rain | 10.6% | 4 | 94.2% | +6.49% | +1 | +5.8% |
| Blood Moon | 9.12% | 3 | 64.38% | -1.85% | 0 | -10.11% |
Cartas de disrupción que están en al menos el 10% de mazos. Las otras columnas tienen el mismo significado que en la tabla anterior.
Los counters y peta tierras más usados se juegan en más mazos, con ajustes varios a la cantidad. Los descartes se reducen.
Sobre todo Dispel se pasa al banquillo y casi no se juegan copias. Parece ser que counters más generales le quitan el sitio. Thoughtseize también, hay cierto interés por conservar las 2 vidas.
Atención a la corriente que pasa Blood Moon a la base del mazo, si bien sigue siendo una carta minoritaria. Es más poderoso llevar tú mismo shocklands.
| Removal | % de Barajas | Moda | % desde SB | Δ % | Δ Moda | Δ % SB |
|---|---|---|---|---|---|---|
| Lightning Bolt | 44.14% | 4 | 0.29% | -0.34% | 0 | -4.09% |
| Path to Exile | 40.44% | 4 | 13.58% | +7.51% | 0 | -8.07% |
| Dismember | 25.52% | 1 | 67.99% | -4.02% | -1 | -1.77% |
| Pyroclasm | 21.7% | 3 | 48.42% | +3.37% | -1 | -0.79% |
| Abrupt Decay | 20.1% | 2 | 34.02% | -4.18% | 0 | +9.59% |
| Lightning Helix | 19.85% | 4 | 4.31% | +9.36% | 0 | +3.65% |
| Cryptic Command | 18.87% | 4 | 0.59% | +7.74% | 0 | -0.25% |
| Electrolyze | 17.51% | 4 | 0.96% | +10.93% | +1 | -1.61% |
| Izzet Charm | 17.26% | 2 | 3.5% | +2.9% | 0 | -4.18% |
| Combust | 15.54% | 2 | 99.56% | +3.35% | 0 | -0.44% |
| Liliana of the Veil | 15.41% | 4 | 1.17% | -4.61% | +1 | -2.39% |
| Supreme Verdict | 15.29% | 3 | 32.84% | +8.67% | +1 | -13.83% |
| Wurmcoil Engine | 13.69% | 3 | 29.45% | +5.03% | -1 | -4.3% |
| Celestial Purge | 12.58% | 2 | 100.0% | +6.92% | 0 | 0.0% |
| Maelstrom Pulse | 12.33% | 1 | 42.34% | -5.27% | -1 | +5.19% |
| Engineered Explosives | 10.36% | 2 | 85.19% | +5.04% | 0 | -0.22% |
| Deceiver Exarch | 10.36% | 4 | 0.0% | -4.97% | 0 | -2.94% |
| Grim Lavamancer | 10.11% | 2 | 17.2% | -4.98% | +1 | -18.25% |
| Echoing Truth | 8.51% | 2 | 93.29% | -2.81% | +1 | -2.92% |
| Terminate | 8.38% | 2 | 4.2% | -5.59% | 0 | +2.21% |
| Murderous Redcap | 7.4% | 1 | 2.53% | -3.87% | 0 | +0.42% |
| Olivia Voldaren | 6.04% | 2 | 61.04% | -6.48% | 0 | -35.13% |
Los dos matabichos más importantes están ahora igualados y se juegan más de base.
Vemos crecer y moverse cartas que juega
Realmente es todo calderilla, comparados con Lightning Bolt y Path to Exile. Si no asumes que te van a jugar esto, vas mal.
| Odio a Artefactos | % de Barajas | Moda | % desde SB | Δ % | Δ Moda | Δ % SB |
|---|---|---|---|---|---|---|
| Stony Silence | 31.32% | 2 | 100.0% | +9.46% | 0 | 0.0% |
| Ancient Grudge | 27.0% | 2 | 100.0% | -9.31% | 0 | 0.0% |
| Abrupt Decay | 20.1% | 2 | 34.02% | -4.18% | 0 | +9.59% |
| Maelstrom Pulse | 12.33% | 1 | 42.34% | -5.27% | -1 | +5.19% |
| Nature's Claim | 11.96% | 3 | 100.0% | +0.94% | +1 | +0.5% |
| Disenchant | 11.47% | 1 | 100.0% | +4.41% | 0 | 0.0% |
| Engineered Explosives | 10.36% | 2 | 85.19% | +5.04% | 0 | -0.22% |
| Qasali Pridemage | 9.99% | 1 | 38.6% | -3.75% | 0 | +2.75% |
| Rakdos Charm | 8.38% | 2 | 96.3% | -8.73% | 0 | +1.66% |
| Shatterstorm | 4.93% | 1 | 100.0% | -6.04% | -1 | 0.0% |
| Odio a Encantamientos | % de Barajas | Moda | % desde SB | Δ % | Δ Moda | Δ % SB |
|---|---|---|---|---|---|---|
| Abrupt Decay | 20.1% | 2 | 34.02% | -4.18% | 0 | +9.59% |
| Maelstrom Pulse | 12.33% | 1 | 42.34% | -5.27% | -1 | +5.19% |
| Nature's Claim | 11.96% | 3 | 100.0% | +0.94% | +1 | +0.5% |
| Disenchant | 11.47% | 1 | 100.0% | +4.41% | 0 | 0.0% |
| Engineered Explosives | 10.36% | 2 | 85.19% | +5.04% | 0 | -0.22% |
| Qasali Pridemage | 9.99% | 1 | 38.6% | -3.75% | 0 | +2.75% |
| Oido al Cementerio | % de Barajas | Moda | % desde SB | Δ % | Δ Moda | Δ % SB |
|---|---|---|---|---|---|---|
| Deathrite Shaman | 24.91% | 4 | 0.13% | -9.18% | 0 | -0.18% |
| Relic of Progenitus | 21.45% | 2 | 58.29% | +2.21% | 0 | -2.73% |
| Grafdigger's Cage | 14.55% | 2 | 100.0% | -3.44% | +1 | 0.0% |
| Slaughter Games | 13.07% | 2 | 100.0% | -5.5% | 0 | 0.0% |
| Rest in Peace | 12.21% | 2 | 100.0% | -1.77% | 0 | +0.5% |
| Rakdos Charm | 8.38% | 2 | 96.3% | -8.73% | 0 | +1.66% |
| Oido a Combo | % de Barajas | Moda | % desde SB | Δ % | Δ Moda | Δ % SB |
|---|---|---|---|---|---|---|
| Spellskite | 50.06% | 2 | 76.56% | +5.19% | +1 | +10.29% |
| Aven Mindcensor | 24.29% | 2 | 66.03% | +2.82% | 0 | +8.65% |
| Torpor Orb | 21.21% | 2 | 100.0% | +6.75% | 0 | +0.75% |
| Grafdigger's Cage | 14.55% | 2 | 100.0% | -3.44% | +1 | 0.0% |
| Slaughter Games | 13.07% | 2 | 100.0% | -5.5% | 0 | 0.0% |
| Linvala, Keeper of Silence | 10.48% | 1 | 38.61% | -3.64% | 0 | -5.3% |
| Rakdos Charm | 8.38% | 2 | 96.3% | -8.73% | 0 | +1.66% |
| Ethersworn Canonist | 4.81% | 1 | 92.19% | -14.39% | 0 | +29.96% |
| Rule of Law | 2.71% | 2 | 100.0% | -19.58% | 0 | 0.0% |
Odios específicos.
Un par de Stony Silence se convierte en el odio contra artefactos preferido, aunque el 60% de las barajas juegan algún otro. La diversidad sigue permeando los banquillos, que es en dónde se concentran la mayoría de estas cartas.
Bastante menos Deathrite Shaman, pero sigue estando en 1 de cada 4 mazos. Rakdos Charm sí pierde de verdad mucho favor.
El odio que sólo sirve mayormente contra Tormenta casi ha desaparecido. La mitad de los mazos lleva algún Spellskite, aunque suelen ser pocas copias. Otra staple del formato.
Pensaba poner las cartas de Gatecrash más jugadas, pero no las hay tales que estén en más del 4% de barajas. Gatecrash no ha tenido influencia en Modern. Aparte de abaratar las shocklands correspondientes, que hacía falta. RTR sí tiene influencia, aunque la mayor es un cambio de última hora reconocido...
En lugar de eso voy a poner las cartas no tierra (que no sea utilitaria) más jugadas, pero ordenadas por la media. Eso representa la probabilidad de que te encuentres con ellas:
| Carta | % de Barajas | Moda | % desde SB |
|---|---|---|---|
| Lightning Bolt | 44.14% | 4 | 0.29% |
| Path to Exile | 40.44% | 4 | 13.58% |
| Snapcaster Mage | 34.9% | 4 | 0.34% |
| Spellskite | 50.06% | 2 | 76.56% |
| Deathrite Shaman | 24.91% | 4 | 0.13% |
| Celestial Colonnade | 22.32% | 4 | 0.0% |
| Remand | 24.66% | 4 | 0.3% |
| Tarmogoyf | 17.88% | 4 | 0.0% |
| Stony Silence | 31.32% | 2 | 100.0% |
| Tectonic Edge | 28.73% | 2 | 0.89% |
| Kitchen Finks | 22.44% | 3 | 19.59% |
| Cryptic Command | 18.87% | 4 | 0.59% |
| Lightning Helix | 19.85% | 4 | 4.31% |
| Mana Leak | 23.67% | 3 | 0.2% |
| Pyroclasm | 21.7% | 3 | 48.42% |
| Vendilion Clique | 22.19% | 3 | 19.51% |
| Serum Visions | 14.3% | 4 | 0.0% |
| Relic of Progenitus | 21.45% | 2 | 58.29% |
| Thoughtseize | 18.0% | 3 | 31.24% |
| Dark Confidant | 13.56% | 4 | 2.1% |
| Geist of Saint Traft | 14.06% | 4 | 7.03% |
| Liliana of the Veil | 15.41% | 4 | 1.17% |
| Electrolyze | 17.51% | 4 | 0.96% |
| Aven Mindcensor | 24.29% | 2 | 66.03% |
| Ancient Grudge | 27.0% | 2 | 100.0% |
| Dismember | 25.52% | 1 | 67.99% |
| Restoration Angel | 16.89% | 2 | 0.53% |
| Inquisition of Kozilek | 16.65% | 3 | 13.83% |
| Spell Snare | 16.28% | 3 | 5.11% |
| Noble Hierarch | 13.69% | 4 | 0.0% |
| Abrupt Decay | 20.1% | 2 | 34.02% |
| Ghost Quarter | 18.87% | 1 | 11.98% |
| Torpor Orb | 21.21% | 2 | 100.0% |
Esto duplica información de las tablas de tags, pero está junta y ordenada de otra forma.
Hay Spellskites en más mazos, pero es bastante más probable que veas un Lightning Bolt y/o un Path to Exile. El Spellskite tampoco lo vas a ver mucho en la primera partida. Snapcaster Mage también es una carta muy común.
La mitad superior de la tabla (por decir algo) son staples que vas a ver sí o sí.
Desde luego, Deathrite Shaman es el acelerador de primer turno más influyente en Modern.
Hasta la próxima y recordad:
I don't see the use in talking to anyone, at any time. It seems like that's where most of the problems come from.
No veo la utilidad de hablar con nadie, en ningún momento. Me parece que de ahí es donde vienen la mayoría de los problemas.
-Jerry Holkins, Penny Arcade.
Notas:
*Gráfico "Karsten": El gráfico que compara semanas usa los resultados de los eventos que se han celebrado entre la edición de esta columna en ese momento y la anterior; que se compara con el mismo gráfico de dicha columna anterior. Estos dos gráficos usan la clasificación que Frank Karsten utilizaba en su antigua columna en wizards.com, que el llamaba el "metajuego de los ganadores." A cada puesto del 5º al 8º le asigna tres puntos; al 3º-4º, cuatro; y a los dos que llegaron a una final les da seis puntos. Yo lo he expandido asignando dos puntos al resto de posiciones, hasta el 16º, para aprovechar los torneos en los que se sabe más que el top8. En el caso de los Diarios del MOL, que no tienen eliminatorias, le he asignado 3 puntos a los mazos que ganaron todas las rondas, y 2 a los que ganan todas menos una. Se suman los puntos así obtenidos de cada arquetipo y se calcula a qué porcentaje del total de puntos corresponde esa suma. Esa es la porción del "metajuego de los ganadores" de cada arquetipo.
Lo que se ve es el gráfico anterior. Para ver el actual y comparar se pasa el ratón por encima de la imagen. Cargará la imagen del gráfico actual. Para volver a ver el anterior, no hay más que apartar el cursor del ratón de la imagen. De esta forma se puede comparar visual y rápidamente.
*Gráfico de Línea Temporal (antes Asistencia): El gráfico del número de eventos y la asistencia es eso mismo. En la vertical está la mediana del número de jugadores de los eventos de cada semana, separados en dos puntos de datos: torneos del MOL que no sean PTQs (cuadrados azules) y cualquier otro evento (círculos marrones).
El dato lo representa el centro de la figura, y su tamaño es proporcional al número de eventos que condensa. Pasando el ratón por encima se ve el número concreto de eventos.
No se conoce la asistencia de ningún evento del MOL que no sea un PTQ, así que los cuadrados azules están a una altura simbólica. Sólo contienen información sobre el número de eventos.
*Diagrama de Agrupamiento de Círculos: En el Diagrama de Agrupamiento de Círculos, los círculos naranjas representan arquetipos que no se subdividen más. Los azules "super-arquetipos" o familias, que van agrupando a otros, hasta llegar al que engloba el formato completo.
El tamaño de los círculos naranjas es proporcional al número de barajas que hay de ese arquetipo. algunos nombres se cortan por claridad. Pasando el ratón sobre cualquier círculo (también los azules), se ve el nombre completo que les he puesto y el tanto por ciento del total de barajas de top8s conocidos que representa.
Las etiquetas intentan ser lo más generales posibles, pero no siempre son adecuadas para todas las barajas que representan, sino para el mayor porcentaje posible. Más información en este artículo.
*Diagrama de Fuerza Dirigida: El Diagrama de Fuerza Dirigida representa las relaciones entre los arquetipos del nivel más bajo de la jerarquía que se ve en el Diagrama de Agrupamiento de Círculos. Cada nodo es un arquetipo. Su tamaño es proporcional a la cantidad de barajas que representa. Los nodos que están relacionados y están en el mismo super-arquetipo, tienen el mismo color. Los colores se repiten, pero si no tienen ninguna línea entre ellos, no son de la misma familia.
Pasando el ratón por un nodo, se ve el nombre de su arquetipo.
En este caso y debido a la gran cantidad de arquetipos minoritarios sin relaciones, están filtrados todos los nodos solitarios que tengan el mínimo tamaño.
Los arquetipos que tienen alguna similitud entre ellos tienen una línea que los une, cuyo grosor representa la intensidad de la similitud. No se aprecia mucho, así que haced zoom con la rueda del ratón. Igualmente, pinchando en el vacío y arrastrando se mueve la vista. También se pueden arrastrar los nodos para verlos mejor. Más información en este artículo.
Otras Notas:
- La lista de eventos de los que extraigo todos los datos la actualizo cada vez, y puede verse aquí.
- Las "semanas" que considero para calcular datos van desde un jueves hasta el miércoles siguiente.
- En todas las tablas se puede pinchar en la cabecera de casi cualquier columna para ordenar las filas por sus valores.



