![]() |
Contar Mal |
| ¡Arf, arf! Cuatro semanas desde que miramos por última vez el metajuego de Estándar, mientras continúa la temporada de Pro Tour Qualifiers para el PT Seattle. Los últimos coletazos antes de que venga Magic 2013. Pero la maquinaria no se detiene sólo por eso, siguen apareciendo arquetipos nuevos (pista: No superan a Delver.) |
Al tiempo de escribir esto, sólo se conoce un torneo con M13, el Open de SCG de San Luis. Sólo es un resultado, pero la cosa pinta muy bien. Varias barajas nuevas y... ¡sólo 4 Delver of Secrets en el top 8! Y no es el mazo actual.
M13 se podrá usar en Magic OnLine el Lunes 30 de Julio. Hasta entonces no tendrá efecto real en el formato, porque el número de torneos en el mundo real será muy bajo, comparado con la factoría de barajas que son los Diarios del MOL. Siete días de torneos online producen diez (10) veces más barajas que el mismo tiempo en el mundo real. Al menos con los resultados que se publican. Desconozco qué porcentaje del total de eventos reales es eso, pero trabajamos con lo que tenemos.
Otra prueba de que Estándar es el formato más jugado con creces: la segunda semana de Mayo reinicié el almacenamiento de barajas. Borré todo el formato para empezar a clasificar de nuevo. Tengo que hacer eso cuando llego a sobre las diez mil barajas, por el código anticuado que estoy usando (resumiendo.)
Al tiempo de esta columna he vuelto a llegar a las once mil barajas. Es la primera vez que tendría que resetear un formato dos veces.
Pero como no quería empezar ahora, he hecho modificaciones para no tener límite en número de barajas. A cambio, ahora tarda 1 hora en particionar el formato en arquetipos, contra unos 3 minutos que tardaba cuando estaba limitado. Por algún lado se tiene que romper.
El único parámetro de mi sistema es el mínimo tanto por cierto de similitud que permito entre barajas. Para poner la clasificación en arquetipos a mi gusto, me suelo mover por el 85% de similitud, para un formato del tamaño de Estándar. Antes de la modificación estaba ya en el 88%. Ahora, al superar las 10k barajas, lo he tenido que subir hasta el 92%, hasta poder detectar las variantes de
Esto ha resquebrajado a muchos otros superarquetipos. Así parece que el formato tenga menos arquetipos viables, porque los superarquetipos que no son Delver son aún más pequeños que él. Es una interpretación lógica, pero lo que de verdad demuestra el que un superarquetipo se parta en dos al subir el umbral es lo que ya llevo semanas diciendo: que ninguno tiene tanta cohesión como Delver. No tienen listas tan unificadas, perfeccionadas.
Esto era verdad antes y sigue siéndolo ahora. Ahora sólo es más evidente.
These Weeks in Magic:
A su derecha pueden ver un gráfico con el metajuego ponderado de las últimas seis semanas. Como acabo de decir, con la fragmentación de los arquetipos por la nueva clasificación, las mayoría de las barajas no
La Semana 14 y 15 ya estaban cubiertas, pero las he incluído de nuevo para tener algún punto de referencia. Como el particionado ha cambiado al subir el umbral de similitud, ya no es realmente comparable con gráficos hechos con umbrales menores.
La Semana 14 representa los torneos conocidos desde el 7 hasta el 13 de Junio, inclusive. La 19 es la que acaba de pasar y va del 12 de Julio al 18.
Como dato relevante, el período 19 contiene el fin de semana de la Release de M13. El 18, el de la Prerelease. Excepto el Open de San Luis que mencioné al principio, no hubo ningún torneo en el mundo real en esos 14 días. Todo fueron Diarios, Premiers, y algún que otro PTQ, en Magic OnLine.
Viendo ya el gráfico,
Mi parte favorita son dos nuevos contendientes, o más bien uno y un cojo:
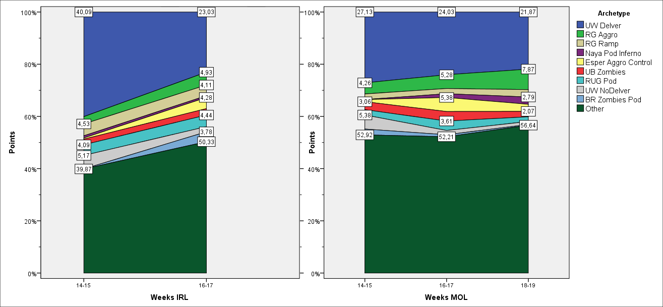
MOL vs. IRL:
Han pasado más semanas como para intentar ver de nuevo la diferencia entre el metajuego del mundo real y el MOL. Hay consistemente 4 veces más eventos online que offline, así que como mínimo hay que agrupar los resultados de 14 días para poder compararlos.
Es lo mínimo y no estoy contento, pero no hay otra cosa. Como dije antes, las últimas dos Semanas fueron la Prerelease y Release de Magic 2013, así que no hubo acción en el mundo del despertar. Luego las Semanas 18-19 en el MOL agrupan 99.9% los mismos datos que la tabla general (ese Open de San Luis...)
En la mitad de Junio hubo una importante tanda de PTQs y el GP Manila. Vemos que fue un completo abuso de Delver, al nivel que Caw Blade mantenía, pero debo recordar que no son muchos datos. Si hubiera el mismo número de eventos que en el mismo tiempo en el MOL, podría moverse en cualquier dirección.
Mientras que en el mundo real estuvieron igualados,
Evolución de Mazos:
Esta vez le toca el turno a las dos mejores variantes de
Explicación copy copy paste paste: La primera tabla es el maindeck. La segunda, el banquillo. La segunda y tercera columnas son la cantidad de barajas del arquetipo del último período en la que estuvo cada carta, en tanto por ciento; y el número de copias más común de ellas (también conocido como la moda.)
Las otras dos columnas son los Δ (Deltas) o diferencias entre los valores actuales y los de la semana anterior. Así se puede apreciar qué ha cambiado, ordenándolas pinchando en las cabeceras.
No se incluyen las cartas que no hayan estado en más del 15% de maindecks y/o 10% de banquillos. Como siempre, si una moda tiene un punto decimal, es porque es la media de varias de ellas.
| Carta | % de Maindecks | Moda | Δ % | Δ Moda |
|---|---|---|---|---|
| Runechanter's Pike | 100.0% | 3 | +4.46% | 0 |
| Geist of Saint Traft | 100.0% | 4 | +1.79% | 0 |
| Mana Leak | 100.0% | 3 | +0.89% | 0 |
| Delver of Secrets | 100.0% | 4 | 0.0% | 0 |
| Gitaxian Probe | 100.0% | 4 | 0.0% | 0 |
| Glacial Fortress | 100.0% | 4 | 0.0% | 0 |
| Gut Shot | 100.0% | 3 | 0.0% | 0 |
| Island | 100.0% | 8 | 0.0% | 0 |
| Moorland Haunt | 100.0% | 2 | 0.0% | 0 |
| Ponder | 100.0% | 4 | 0.0% | 0 |
| Seachrome Coast | 100.0% | 4 | 0.0% | 0 |
| Snapcaster Mage | 100.0% | 4 | 0.0% | 0 |
| Thought Scour | 100.0% | 4 | 0.0% | 0 |
| Vapor Snag | 100.0% | 4 | 0.0% | 0 |
| Restoration Angel | 98.82% | 3 | -0.28% | 0 |
| Plains | 84.71% | 1 | -6.37% | 0 |
| Mutagenic Growth | 55.29% | 1 | -22.38% | 0 |
| Dismember | 43.53% | 1 | +25.67% | 0 |
| Sword of War and Peace | 20.0% | 1 | +12.86% | -2 |
| Carta | % de Banquillos | Moda | Δ % | Δ Moda |
|---|---|---|---|---|
| Celestial Purge | 100.0% | 3 | 0.0% | 0 |
| Phantasmal Image | 96.47% | 2 | -0.85% | 0 |
| Mental Misstep | 95.29% | 2 | +3.33% | 0 |
| Dissipate | 88.24% | 1 | +0.74% | 0 |
| Timely Reinforcements | 84.71% | 2 | -11.72% | 0 |
| Divine Offering | 61.18% | 1 | +13.86% | 0 |
| Sword of War and Peace | 57.65% | 1 | +2.29% | 0 |
| Mana Leak | 56.47% | 1 | -18.53% | 0 |
| Gut Shot | 54.12% | 1 | -3.03% | 0 |
| Spectral Flight | 51.76% | 1 | -16.99% | 0 |
| Mutagenic Growth | 41.18% | 1 | -11.5% | 0 |
| Surgical Extraction | 20.0% | 1 | +9.29% | 0 |
| Blade Splicer | 18.82% | 2 | +12.57% | 0 |
| Negate | 16.47% | 1 | +6.65% | 0 |
| Dismember | 15.29% | 1 | +4.58% | 0 |
| Revoke Existence | 10.59% | 1 | +6.12% | 0 |
| Oblivion Ring | 3.53% | 1 | -7.18% | 0 |
Esta es la variante de Delver más ganadora esta semana, pero por bastante poco sobre la siguiente, a continuación.
El único cambio importante de base es un Dismember por el Mutagenic Growth.
En el banquillo tenemos la bajada de popularidad del cuarto Mana Leak, del Spectral Flight y del otro Mutagenic Growth. Por el contrario, agrada un Divine Offering.
Se están probando un par de Blade Splicers.
| Carta | % de Maindecks | Moda | Δ % | Δ Moda |
|---|---|---|---|---|
| Delver of Secrets | 100.0% | 4 | 0.0% | 0 |
| Geist of Saint Traft | 100.0% | 4 | 0.0% | 0 |
| Gitaxian Probe | 100.0% | 3 | 0.0% | 0 |
| Glacial Fortress | 100.0% | 4 | 0.0% | 0 |
| Gut Shot | 100.0% | 3 | 0.0% | 0 |
| Island | 100.0% | 8 | 0.0% | 0 |
| Mana Leak | 100.0% | 3 | 0.0% | -1 |
| Moorland Haunt | 100.0% | 2 | 0.0% | 0 |
| Ponder | 100.0% | 4 | 0.0% | 0 |
| Restoration Angel | 100.0% | 4 | 0.0% | 0 |
| Seachrome Coast | 100.0% | 4 | 0.0% | 0 |
| Snapcaster Mage | 100.0% | 4 | 0.0% | 0 |
| Vapor Snag | 100.0% | 4 | 0.0% | 0 |
| Plains | 98.28% | 1 | +0.16% | 0 |
| Sword of War and Peace | 96.55% | 2 | +2.21% | 0 |
| Cavern of Souls | 93.1% | 2 | -6.9% | 0 |
| Thought Scour | 91.38% | 2 | +2.7% | 0 |
| Dismember | 81.03% | 1 | -5.76% | 0 |
| Blade Splicer | 29.31% | 1 | +1.01% | 0 |
| Phantasmal Image | 17.24% | 1 | +0.26% | 0 |
| Carta | % de Banquillos | Moda | Δ % | Δ Moda |
|---|---|---|---|---|
| Celestial Purge | 98.28% | 3 | -1.72% | +0.5 |
| Phantasmal Image | 94.83% | 2 | -5.17% | 0 |
| Dissipate | 91.38% | 2 | -2.96% | 0 |
| Divine Offering | 82.76% | 1 | -5.92% | 0 |
| Timely Reinforcements | 74.14% | 2 | +9.99% | 0 |
| Mental Misstep | 44.83% | 1 | -4.23% | 0 |
| Day of Judgment | 39.66% | 1 | +18.9% | -1 |
| Consecrated Sphinx | 37.93% | 1 | +15.29% | -0.5 |
| Blade Splicer | 37.93% | 2 | +9.63% | 0 |
| Hero of Bladehold | 34.48% | 2 | -20.23% | 0 |
| Gideon Jura | 31.03% | 2 | +15.94% | +1 |
| Oblivion Ring | 27.59% | 1 | -6.38% | 0 |
| Sun Titan | 25.86% | 1 | +8.88% | -1 |
| Tamiyo, the Moon Sage | 25.86% | 1 | -8.1% | 0 |
| Dismember | 22.41% | 1 | -15.32% | 0 |
| Gut Shot | 17.24% | 1 | -7.29% | 0 |
| Amass the Components | 15.52% | 1 | +13.63% | 0 |
| Ghost Quarter | 12.07% | 1 | +2.64% | 0 |
| Jace, Memory Adept | 12.07% | 1 | +2.64% | 0 |
| Surgical Extraction | 10.34% | 1 | -2.86% | 0 |
| Batterskull | 1.72% | 1 | -9.6% | 0 |
Ahora desaparece el cuarto Mana Leak aquí también, pero no para volver después de las primeras partidas. A estas alturas los maindecks de Delver están muy decididos.
En el banquillo se consolidan el tercer Celestial Purge y, para la gente que los llevan, un sólo Day of Judgment, una sola Consecrated Sphinx, dos Gideon Jura y un Sun Titan.
Más gente lleva Timely Reinforcements. También aquí se están probando los dos Blade Splicers.
Hero of Bladehold y Dismember (el segundo en las 75) sufren duros golpes de popularidad.
| Carta | % de Maindecks | Moda | Δ % | Δ Moda |
|---|---|---|---|---|
| Birds of Paradise | 100.0% | 4 | 0.0% | 0 |
| Bonfire of the Damned | 100.0% | 4 | 0.0% | 0 |
| Borderland Ranger | 100.0% | 3.5 | 0.0% | -0.5 |
| Copperline Gorge | 100.0% | 4 | 0.0% | 0 |
| Forest | 100.0% | 10 | 0.0% | -1 |
| Green Sun's Zenith | 100.0% | 4 | 0.0% | 0 |
| Huntmaster of the Fells | 100.0% | 4 | 0.0% | 0 |
| Kessig Wolf Run | 100.0% | 4 | 0.0% | 0 |
| Llanowar Elves | 100.0% | 4 | 0.0% | 0 |
| Mountain | 100.0% | 1 | 0.0% | 0 |
| Rootbound Crag | 100.0% | 4 | 0.0% | 0 |
| Strangleroot Geist | 100.0% | 4 | 0.0% | 0 |
| Wolfir Silverheart | 100.0% | 3 | 0.0% | 0 |
| Sword of Feast and Famine | 94.44% | 2 | +0.1% | 0 |
| Sword of War and Peace | 88.89% | 2 | -11.11% | 0 |
| Thrun, the Last Troll | 69.44% | 1 | +5.29% | 0 |
| Daybreak Ranger | 25.0% | 1 | +4.25% | 0 |
| Primeval Titan | 19.44% | 1 | +15.67% | 0 |
| Phyrexian Metamorph | 16.67% | 1 | +12.89% | 0 |
| Acidic Slime | 16.67% | 1 | +9.12% | 0 |
| Cavern of Souls | 16.67% | 2 | +7.23% | 0 |
| Garruk Relentless | 0% | 0 | -15.09% | -1 |
| Carta | % de Banquillos | Moda | Δ % | Δ Moda |
|---|---|---|---|---|
| Zealous Conscripts | 94.44% | 2 | -1.78% | 0 |
| Combust | 88.89% | 2 | -5.45% | 0 |
| Ancient Grudge | 77.78% | 2 | -5.24% | 0 |
| Crushing Vines | 75.0% | 2 | +7.08% | 0 |
| Batterskull | 69.44% | 2 | -7.91% | 0 |
| Pillar of Flame | 61.11% | 3.5 | +27.15% | +0.5 |
| Sword of War and Peace | 38.89% | 1 | -6.39% | 0 |
| Thrun, the Last Troll | 30.56% | 2 | -12.84% | +1 |
| Sword of Feast and Famine | 27.78% | 2 | -28.83% | +1 |
| Wurmcoil Engine | 27.78% | 1 | +10.8% | 0 |
| Stingerfling Spider | 22.22% | 1 | +1.47% | 0 |
| Triumph of Ferocity | 19.44% | 2 | -25.84% | 0 |
| Manabarbs | 19.44% | 2 | +8.12% | 0 |
| Ratchet Bomb | 16.67% | 2 | +14.78% | 0 |
| Daybreak Ranger | 16.67% | 1 | -2.2% | 0 |
| Arc Trail | 16.67% | 2 | -0.31% | 0 |
| Melira, Sylvok Outcast | 11.11% | 1 | +5.45% | 0 |
| Acidic Slime | 11.11% | 1 | +3.56% | 0 |
| Naturalize | 11.11% | 2 | +3.56% | +1 |
| Wolfir Silverheart | 5.56% | 1 | -24.63% | 0 |
| Champion of Lambholt | 5.56% | 1 | -13.31% | 0 |
Uno de los 4 Borderland Rangers se vuelve dudoso. Se prueban un trío de cartas sueltas y dos Cavern of Souls.
En los banquillos, Pillar of Flame se vuelve muy popular. Sword of Feast and Famine y Triumph of Ferocity, impopulares. Wolfir Silverheart desaparece.
Se están probando Ratchet Bomb, Wurmcoil Engine y Manabarbs, no necesariamente juntos. El experimento Lambholt fracasó.
En el empujón final antes de M13, Delver sigue siendo estable en 1/4 o 1/5 del metajuego ganador. Aún así siguen saliendo algunos mazos nuevos. Ni Delver aburre tampoco, porque la asistencia no baja en absoluto, sigue enorme (¡eso dijo ella!)
Hasta la próxima y recordad:
Subtlety is great as long as you beat the audience over the head with it.
La sutileza está muy bien siempre y cuando le pegues a la audiencia en la cabeza con ella.
-Billy Wilder.
Notas:
*Gráfico "Karsten": El gráfico que compara semanas usa los resultados de los eventos que se han celebrado entre la edición de esta columna en ese momento y la anterior; que se compara con el mismo gráfico de dicha columna anterior. Estos dos gráficos usan la clasificación que Frank Karsten utilizaba en su antigua columna en wizards.com, que el llamaba el "metajuego de los ganadores." A cada puesto del 5º al 8º le asigna tres puntos; al 3º-4º, cuatro; y a los dos que llegaron a una final les da seis puntos. Yo lo he expandido asignando dos puntos al resto de posiciones, hasta el 16º, para aprovechar los torneos en los que se sabe más que el top8. En el caso de los Diarios del MOL, que no tienen eliminatorias, le he asignado 3 puntos a los mazos que ganaron todas las rondas, y 2 a los que ganan todas menos una. Se suman los puntos así obtenidos de cada arquetipo y se calcula a qué porcentaje del total de puntos corresponde esa suma. Esa es la porción del "metajuego de los ganadores" de cada arquetipo.
Lo que se ve es el gráfico anterior. Para ver el actual y comparar se pasa el ratón por encima de la imagen. Cargará la imagen del gráfico actual. Para volver a ver el anterior, no hay más que apartar el cursor del ratón de la imagen. De esta forma se puede comparar visual y rápidamente.
*Gráfico de Asistencia: El gráfico del número de eventos y la asistencia es eso mismo. En la vertical está la mediana del número de jugadores de los eventos de cada semana, separados en dos puntos de datos: torneos del MOL que no sean PTQs (cuadrados azules) y cualquier otro evento (círculos marrones).
El dato lo representa el centro de la figura, y su tamaño es proporcional al número de eventos que condensa. Pasando el ratón por encima se ve el número concreto de eventos.
No se conoce la asistencia de ningún evento del MOL que no sea un PTQ, así que los cuadrados azules están a una altura simbólica. Sólo contienen información sobre el número de eventos.
*Diagrama de Agrupamiento de Círculos: En el Diagrama de Agrupamiento de Círculos, los círculos naranjas representan arquetipos que no se subdividen más. Los azules "super-arquetipos" o familias, que van agrupando a otros, hasta llegar al que engloba el formato completo.
El tamaño de los círculos naranjas es proporcional al número de barajas que hay de ese arquetipo. algunos nombres se cortan por claridad. Pasando el ratón sobre cualquier círculo (también los azules), se ve el nombre completo que les he puesto y el tanto por ciento del total de barajas de top8s conocidos que representa.
Las etiquetas intentan ser lo más generales posibles, pero no siempre son adecuadas para todas las barajas que representan, sino para el mayor porcentaje posible. Más información en este artículo.
*Diagrama de Fuerza Dirigida: El Diagrama de Fuerza Dirigida representa las relaciones entre los arquetipos del nivel más bajo de la jerarquía que se ve en el Diagrama de Agrupamiento de Círculos. Cada nodo es un arquetipo. Su tamaño es proporcional a la cantidad de barajas que representa. Los nodos que están relacionados y están en el mismo super-arquetipo, tienen el mismo color. Los colores se repiten, pero si no tienen ninguna línea entre ellos, no son de la misma familia.
Pasando el ratón por un nodo, se ve el nombre de su arquetipo.
En este caso y debido a la gran cantidad de arquetipos minoritarios sin relaciones, están filtrados todos los nodos solitarios que tengan el mínimo tamaño.
Los arquetipos que tienen alguna similitud entre ellos tienen una línea que los une, cuyo grosor representa la intensidad de la similitud. No se aprecia mucho, así que haced zoom con la rueda del ratón. Igualmente, pinchando en el vacío y arrastrando se mueve la vista. También se pueden arrastrar los nodos para verlos mejor. Más información en este artículo.
Otras Notas:
- La lista de eventos de los que extraigo todos los datos la actualizo cada vez, y puede verse aquí.
- Las "semanas" que considero para calcular datos van desde un jueves hasta el miércoles siguiente.
- En todas las tablas se puede pinchar en la cabecera de casi cualquier columna para ordenar las filas por sus valores.



